MNIST学習
 データセット
 SGD数値勾配
 誤差逆伝播法
    認識制度推移
 SimpleConvNet
    認識制度推移
 深層学習
    NW初期化
    重み初期化
    訓練開始
    レイヤ生成
    レイヤ遷移
    入力の次元

 NN機能・要件
 NN構成・方式
 構成・方式など
 タスク
 導入
 Sample
 用語

 MNIST学習
 ・ニューラルネットワーク学習を行う。
重みパラメータの作成を行う。
 ・学習の仕方
SGD 数値勾配
誤差逆伝播法
シンプルなCNN
ディープラーニング

 MNIST のデータセット
 ・MNIST(エムニスト)のデータセット
指定保存場所に ダウンロード (mnist.py)
|_mnist.py
|_t10k-images-idx3-ubyte.gz
|_t10k-labels-idx1-ubyte.gz
|_train-images-idx3-ubyte.gz
|_train-labels-idx1-ubyte.gz
解凍 し、データセット (mnist.py)
それぞれのデータの形状
print (dataset['train_img'].shape)  (60000, 784)
print (dataset['train_label'].shape)  (60000,)
print (dataset['test_img'].shape)  (10000, 784)
print (dataset['test_label'].shape)  (10000,)
Pickle形式保存 (mnist.py)
data ディレクトリに mnist.pkl 作成
画像表示 (mnistDataHyouji.py)


 確率的勾配降下法 数値勾配によるミニバッチ学習実装
 ・サンプル
functions.py (関数)
mnist.py (データセット)
mnistNumerical_gradient.py (数値勾配ミニバッチ学習)
TowLayerNet (2層ニューラルネットワーク)
 ・2層ニューラルネットワークをクラスとして実装
入力層(0層)784個、 中間層(1層)50個、 出力層(2層)10個
勾配計算のメソッドは、 numerical_gradient
 ・学習手順
重みパラメータに関する損失関数の勾配の、数値微分による算出
ニューラルネットワークの学習における勾配
重みパラメータを、損失関数の変数とする。(loss_W = lambda W:)
重みパラメータに関する損失関数(L)の勾配(∂L / ∂W)
数値微分によって 勾配を求める。
勾配を求める実装 (例 TowLayerNet)
パラメータの更新 (数値微分によるによるミニバッチ学習)
勾配(∂L / ∂W)を小さくする。(性能の悪さを最小にする。)
勾配降下法を利用して学習する。
 ・sampleの実行結果
実行過程は誤差逆伝播法と同じ
時間は、1エポックが誤差逆伝播法の1万数千倍程度(数時間)

 誤差逆伝播法によるミニバッチ学習実装
 ・サンプル
functions.py (関数)
mnist.py (データセット)
mnistGradient.py (誤差逆伝播法ミニバッチ学習)
TowLayerNet (2層ニューラルネットワーク)
 ・2層ニューラルネットワークをクラスとして実装
入力層(0層)784個、 中間層(1層)50個、 出力層(2層)10個
勾配計算のメソッドは、 gradient
 ・学習手順
重みパラメータに関する損失関数の勾配の、誤差逆伝播法による算出
ニューラルネットワークの学習における勾配
パラメータの更新 (数値微分によるによるミニバッチ学習)
勾配(∂L / ∂W)を小さくする。(性能の悪さを最小にする。)
勾配降下法を利用して学習する。
 ・sampleの実行結果
実行過程は数値微分と同じ (時間は、1エポック 約1 秒)
>$ python mnistGradient.py     データ確認     x_train.shape (60000, 784)     t_train.shape (60000, 10)     x_test.shape (10000, 784)     t_test.shape (10000, 10)     one_hot_label=True     2層nnクラスの入力層は784、中間層は50、出力層は10     重みの初期化 weight_init_std 0.01     self.params['W1'].shape (784, 50)     self.params['b1'].shape (50,)     self.params['W2'].shape (50, 10)     self.params['b2'].shape (10,)     (self.params['W1'])[0, 0] 0.013982489063855533     (self.params['W1'])[783, 49] 0.0014241270276013208     (self.params['b1'])[0] 0.0     (self.params['W2'])[0, 0] 0.010867215970553377     (self.params['W2'])[49, 9] -0.0025184368799455116     (self.params['b2'])[0] 0.0     ハイパーパラメータ     勾配法によるパラメータの更新回数 10000     訓練データ数 60000     ミニバッチの数 100     学習率 0.1     1エポックの繰り返し数 600.0     iter_per_epoch 0     train acc, test acc | 0.09736666666666667, 0.0982     iter_per_epoch 600     train acc, test acc | 0.7778, 0.7853     iter_per_epoch 1200     train acc, test acc | 0.8721166666666667, 0.876     iter_per_epoch 1800     train acc, test acc | 0.8969333333333334, 0.8999     iter_per_epoch 2400     train acc, test acc | 0.9072166666666667, 0.9096     iter_per_epoch 3000     train acc, test acc | 0.9135333333333333, 0.9151     iter_per_epoch 3600     train acc, test acc | 0.9186666666666666, 0.9211     iter_per_epoch 4200     train acc, test acc | 0.9216333333333333, 0.9246     iter_per_epoch 4800     train acc, test acc | 0.9255833333333333, 0.9284     iter_per_epoch 5400     train acc, test acc | 0.9284833333333333, 0.9299     iter_per_epoch 6000     train acc, test acc | 0.93275, 0.9344     iter_per_epoch 6600     train acc, test acc | 0.9350166666666667, 0.9353     iter_per_epoch 7200     train acc, test acc | 0.93765, 0.9383     iter_per_epoch 7800     train acc, test acc | 0.93995, 0.9393     iter_per_epoch 8400     train acc, test acc | 0.9422666666666667, 0.9417     iter_per_epoch 9000     train acc, test acc | 0.9443666666666667, 0.9424     iter_per_epoch 9600     train acc, test acc | 0.94675, 0.9433     ミニバッチ学習_end  ・sampleの認識制度推移
訓練データとテストデータに対する認識制度の推移


 SimpleConvNetによる学習
 ・サンプル
functions.py (関数)
layers.py (レイヤ)
mnist.py (データセット)
mnistSimpleConvNet.py (SimpleConvNetによる学習)
optimizer.py (optimizer)
simpleConvNet.py (SimpleConvNet)
Trainer.py (ニューラルネットの訓練を行うクラス)
util.py (util)
 ・シンプルなConvNet実装  (SimpleConvNet
conv - relu - pool - affine - relu - affine - softmax
hidden_size=100, output_size=10, weight_init_std=0.01
conv_param = {'filter_num': 30, 'filter_size': 5, 'pad': 0, 'stride': 1}
 ・sampleの実行結果
実行過程の時間は、1エポック 約90秒)
$ python3 train_convnet.py     データ確認     x_train.shape (60000, 1, 28, 28)     t_train.shape (60000,)     x_test.shape (10000, 1, 28, 28)     t_test.shape (10000,)     重みの初期化     W1 (30, 1, 5, 5)     b1 (30,)     W2 (4320, 100)     b2 (100,)     W3 (100, 10)     b3 (10,)     レイヤの生成     self.layers[Conv1] <layers.Convolution object at 0x7f4a8f798080>     self.layers[Relu1] <layers.Relu object at 0x7f4a8cabc1d0>     self.layers[Pool1] <layers.Pooling object at 0x7f4a8cabc278>     self.layers[Affine1] <layers.Affine object at 0x7f4a8cabca20>     self.layers[Relu2] <layers.Relu object at 0x7f4a8cabc828>     self.layers[Affine2] <layers.Affine object at 0x7f4a8cabc9b0>     self.last_layer <layers.SoftmaxWithLoss object at 0x7f4a8cabc2e8>     optimizerは(Adam)     学習係数(lr)は 0.001     訓練クラス (Trainer)     エポック (self.epochs)は 20     ミニバッチサイズは(self.batch_size) 100     evaluate_sample_num_per_epoch(1000)     train_size(x_train.shape[0])は 60000     iter_per_epoch(60000/100)は 600.0     max_iter(20*600)は 12000     訓練開始     Convolution forward x.shape (100, 1, 28, 28)     Relu forward x.shape (100, 30, 24, 24)     Pooling forward x.shape (100, 30, 24, 24)     Affine forward x.shape (100, 30, 12, 12)     Relu forward x.shape (100, 100)     Affine forward x.shape (100, 100)     SoftmaxWithLoss forward x.shape (100, 10)     SoftmaxWithLoss backward     Affine backward     Relu backward     Affine backward     Pooling backward     Relu backward     Convolution backward     Convolution forward x.shape (100, 1, 28, 28)     Relu forward x.shape (100, 30, 24, 24)     Pooling forward x.shape (100, 30, 24, 24)     Affine forward x.shape (100, 30, 12, 12)     Relu forward x.shape (100, 100)     Affine forward x.shape (100, 100)     SoftmaxWithLoss forward x.shape (100, 10)     train loss:2.2995429548844437     Convolution forward x.shape (100, 1, 28, 28)     Relu forward x.shape (100, 30, 24, 24)     Pooling forward x.shape (100, 30, 24, 24)     Affine forward x.shape (100, 30, 12, 12)     Relu forward x.shape (100, 100)     Affine forward x.shape (100, 100)     同(forward)19回(「SoftmaxWithLoss」無し)     === epoch:1, train acc:0.262, test acc:0.25 ===     以下、(forward)、(backward)、(forward)、(train loss:)の繰り返し     同(forward)20回(「SoftmaxWithLoss」無し)     === epoch:2, train acc:0.xxx, test acc:0.xxx ===     以下、「epoch:20」まで繰り返し     以下、(forward)、(backward)、(forward)、(train loss:)の繰り返し     同(forward)100回(「SoftmaxWithLoss」無し)     train loss:0.0001884646933347338     Final Test Accuracy     test acc:0.9885     Saved Network Parameters!     SimpleConvNet学習_end
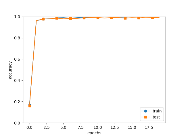
 認識制度推移(SimpleConvNet)
 ・訓練データとテストデータに対する認識制度の推移


 DeepConvNetによる学習  (MNIST用の多層ニューラルネットワークをクラスとして実装
 ・サンプル
deepConvNet.py (DeepConvNet)
functions.py (関数)
layers.py (レイヤ)
mnist.py (データセット)
mnistDeepConvNet.py (MNIST深層学習)
optimizer.py (optimizer)
Trainer.py (Trainer)
util.py (util)
 ・複雑なConvNet
 ・Convolutionレイヤ
 ・ニューラルネットの訓練を行うクラス
 ・sampleの実行経過(インテルi7の物理マシンで、2~3時間程度)
$ python3 train_deepnet.py     データ読み込み (flatten=False)     ネットワーク構成 (DeepConvNet)     conv - relu - conv- relu - pool - conv - relu - conv- relu - pool -     conv - relu - conv- relu - pool - affine - relu - dropout -     affine - dropout - softmax     DeepConvNet__init__(ネットワーク初期化)     input_dim=(1, 28, 28)     convolutionエリアのフィルターの重み'filter_num','filter_size', 'pad', 'stride'     conv_param_1= {'filter_num': 16, 'filter_size': 3, 'pad': 1, 'stride': 1}     conv_param_2= {'filter_num': 16, 'filter_size': 3, 'pad': 1, 'stride': 1}     conv_param_3= {'filter_num': 32, 'filter_size': 3, 'pad': 1, 'stride': 1}     conv_param_4= {'filter_num': 32, 'filter_size': 3, 'pad': 2, 'stride': 1}     conv_param_5= {'filter_num': 64, 'filter_size': 3, 'pad': 1, 'stride': 1}     conv_param_6= {'filter_num': 64, 'filter_size': 3, 'pad': 1, 'stride': 1}     hidden_size=50     output_size=10     (ネットワーク初期化内、重みの初期化)     W = 初期値 * ガウス分布(フィルター数, チャネル数, フィルターサイズ, フィルターサイズ)     各層のニューロンひとつが、前層のニューロンといくつのつながりがあるか     pre_node_nums [ 9 144 144 288 288 576 1024 50]     ReLUを使う場合に推奨される初期値(weight_init_scales)     [0.47140452 0.11785113 0.11785113 0.08333333 0.08333333 0.05892557 0.04419417 0.2]     W は重みパラメータになれる。(前層のチャネル数とチャネル数は同じで、積算できる。)     Convolution結合(Affine結合ではない。)     self.params {}     入力のチャネル数 = input_dim[0]、 1     self.params['W1'].shape (16, 1, 3, 3)     self.params['W1'] [[[[-2.02614503e-01 1.54646178e-02 1.79391431e-01]      [-2.93400701e-01 -1.77965356e-01 -3.15000378e-01]      [ 6.13876118e-01 1.18367793e-01 -4.59401128e-02]]]       1~14チャネル、同様      [[[-8.58923210e-01 7.82185444e-01 -9.64429099e-02]      [ 1.26995494e+00 4.56541552e-01 -1.87158975e-01]      [-1.61923794e-01 1.30478209e+00 -5.80574250e-01]]]]     self.params['b1'] [0. 0. 0. 0. 0. 0. 0. 0. 0. 0. 0. 0. 0. 0. 0. 0.]     W1のフィルター数(16)をpre_channel_numに設定     W2 (16, 16, 3, 3)     self.params['W2'] [[[[ 1.91905279e-01 2.02757865e-01 -2.87342926e-02]      [ 1.74964924e-01 -1.20009101e-01 1.49530269e-01]      [ 9.79308378e-03 3.43446511e-02 3.51302212e-02]]      ・・・・      [[-0.04732913 0.01294622 0.0335121 ]      [-0.17892046 0.01101699 0.03202588]      [-0.03837846 -0.09724487 -0.0838004 ]]]]     b2 [0. 0. 0. 0. 0. 0. 0. 0. 0. 0. 0. 0. 0. 0. 0. 0.]     W2のフィルター数(16)をpre_channel_numに設定     W3 (32, 16, 3, 3)     self.params['W3'] [[[[ 0.06557074 -0.02819238 -0.01845345]      [-0.0151199 -0.02190891 0.01433862]      [ 0.03769021 -0.02830693 -0.00827718]]      ・・・・      [[ 0.07987249 0.10145531 -0.01749849]      [-0.14744825 -0.02180667 -0.10978253]      [-0.11749816 -0.16667382 0.04836237]]]]     b3 [0. 0. 0. 0. 0. 0. 0. 0. 0. 0. 0. 0. 0. 0. 0. 0. 0. 0. 0. 0. 0. 0. 0. 0.      0. 0. 0. 0. 0. 0. 0. 0.]     W3のフィルター数(32)をpre_channel_numに設定     W4 (32, 32, 3, 3)     self.params['W4'] [[[[ 2.13127146e-02 7.14255839e-03 2.26511155e-02]      [-4.29966555e-02 7.28521039e-02 -6.41670924e-02]      [ 1.85909313e-02 2.91449556e-02 -2.66956427e-02]]      ・・・・      [[-5.75077561e-02 2.28618426e-02 -7.55179804e-03]      [ 1.14258462e-02 -1.88841176e-02 -1.30251209e-01]      [ 1.56797473e-01 -9.08880373e-02 4.42026465e-02]]]]     b4 [0. 0. 0. 0. 0. 0. 0. 0. 0. 0. 0. 0. 0. 0. 0. 0. 0. 0. 0. 0. 0. 0. 0. 0.      0. 0. 0. 0. 0. 0. 0. 0.]     W4のフィルター数(32)をpre_channel_numに設定     W5 (64, 32, 3, 3)     self.params['W5'] [[[[ 5.26452866e-02 -2.17153285e-02 -1.30333982e-01]      [-8.19090563e-02 -6.17362840e-02 5.08962160e-02]      [ 1.44661174e-01 1.14347993e-01 1.77478525e-02]]      ・・・・      [[ 1.76692912e-01 5.98875964e-02 8.63778253e-02]      [ 1.07203423e-01 -1.11469524e-01 3.63111351e-02]      [-4.30825622e-02 -1.30772913e-01 1.17487350e-02]]]]     b5 [0. 0. 0. 0. 0. 0. 0. 0. 0. 0. 0. 0. 0. 0. 0. 0. 0. 0. 0. 0. 0. 0. 0. 0.      0. 0. 0. 0. 0. 0. 0. 0. 0. 0. 0. 0. 0. 0. 0. 0. 0. 0. 0. 0. 0. 0. 0. 0.      0. 0. 0. 0. 0. 0. 0. 0. 0. 0. 0. 0. 0. 0. 0. 0.]     W5のフィルター数(64)をpre_channel_numに設定     W6 (64, 64, 3, 3)     self.params['W6'] [[[[ 0.0912546 -0.04262691 0.02487736]      [ 0.0821647 -0.02609576 0.11188648]      [-0.09871852 -0.03629912 -0.03841551]]      ・・・・      [[ 0.03373332 0.04306996 -0.06825551]      [-0.06076129 -0.01639624 0.03234572]      [ 0.03313203 -0.05359558 0.03408823]]]]     b6 [0. 0. 0. 0. 0. 0. 0. 0. 0. 0. 0. 0. 0. 0. 0. 0. 0. 0. 0. 0. 0. 0. 0. 0.      0. 0. 0. 0. 0. 0. 0. 0. 0. 0. 0. 0. 0. 0. 0. 0. 0. 0. 0. 0. 0. 0. 0. 0.      0. 0. 0. 0. 0. 0. 0. 0. 0. 0. 0. 0. 0. 0. 0. 0.]     W7= weight_init_scales[6](0.04419417) * np.random.randn(64*4*4, hidden_size)     W7 (1024, 50)     W7 [[-0.01083619 0.01355946 -0.03149526 ・・・ -0.04653788 -0.00672065      -0.01497418]      ・・・・      [ 0.0408319 -0.01565431 -0.06455872 ... -0.06308621 -0.08767341      0.04769704]]     b7 [0. 0. 0. 0. 0. 0. 0. 0. 0. 0. 0. 0. 0. 0. 0. 0. 0. 0. 0. 0. 0. 0. 0. 0.      0. 0. 0. 0. 0. 0. 0. 0. 0. 0. 0. 0. 0. 0. 0. 0. 0. 0. 0. 0. 0. 0. 0. 0.      0. 0.]     W8= weight_init_scales[7](0.2) * np.random.randn(hidden_size, output_size)     W8 (50, 10)     W8 [[ 1.88327124e-01 -8.73956843e-02 -7.43030570e-03 3.34721844e-02      -2.32227456e-01 1.64520538e-01 1.87530290e-01 9.87450536e-03      1.75083043e-02 -8.89778290e-02]      ・・・・      [-4.85487788e-02 -3.25322340e-01 -3.23975960e-01 -5.49866777e-01      2.06118235e-01 7.13430832e-02 1.97618377e-01 3.50369312e-01      -6.36053526e-02 3.10088520e-01]]     b8 [0. 0. 0. 0. 0. 0. 0. 0. 0. 0.]     (ネットワーク初期化内、レイヤの生成)     self.layers = []     self.layers.append(Convolution(self.params['W1'], self.params['b1'],      conv_param_1['stride'], conv_param_1['pad']))     self.layers.append(Relu())     self.layers.append(Convolution(self.params['W2'], self.params['b2'],      conv_param_2['stride'], conv_param_2['pad']))     self.layers.append(Relu())     self.layers.append(Pooling(pool_h=2, pool_w=2, stride=2))     self.layers.append(Convolution(self.params['W3'], self.params['b3'],      conv_param_3['stride'], conv_param_3['pad']))     self.layers.append(Relu())     self.layers.append(Convolution(self.params['W4'], self.params['b4'],      conv_param_4['stride'], conv_param_4['pad']))     self.layers.append(Relu())     self.layers.append(Pooling(pool_h=2, pool_w=2, stride=2))     self.layers.append(Convolution(self.params['W5'], self.params['b5'],      conv_param_5['stride'], conv_param_5['pad']))     self.layers.append(Relu())     self.layers.append(Convolution(self.params['W6'], self.params['b6'],      conv_param_6['stride'], conv_param_6['pad']))     self.layers.append(Relu())     self.layers.append(Pooling(pool_h=2, pool_w=2, stride=2))     self.layers.append(Affine(self.params['W7'], self.params['b7']))     self.layers.append(Relu())     self.layers.append(Dropout(0.5))     self.layers.append(Affine(self.params['W8'], self.params['b8']))     self.layers.append(Dropout(0.5))     self.last_layer = SoftmaxWithLoss()     ネットワーク (DeepConvNet)     optimizerは(Adam)     学習係数(lr)は 0.001     訓練クラス (Trainer)     エポック (epochs)は 20     ミニバッチサイズは(batch_size) 100     evaluate_sample_num_per_epoch (1000)     train_size(x_train.shape[0])は 60000     iter_per_epoch(60000/100)は 600.0     max_iter(20*600)は 12000     訓練開始 max_iter回、train_step(self)実施     (6万の訓練データからランダムに1束(100個)取得、600回で1エポック、20エポック実施)         1束(100個、x_batch.shape=(100.1.28.28)、t_batch.shape=(100.))取得         1束(100個)に、gradient() 実施     gradient()         loss()             predict()                 各レイヤのforward結果を取得     最初のConvolution forward         インプット x.shape (100, 1, 28, 28)→N, C, H, W         重み W1.shape (16, 1, 3, 3)→ FN, C, FH, FW     レイヤの遷移ニューロンへの入力     Convolution forward x.shape (100, 1, 28, 28)     Relu forward x.shape (100, 16, 28, 28)     Convolution forward x.shape (100, 16, 28, 28)     Relu forward x.shape (100, 16, 28, 28)     Pooling forward x.shape (100, 16, 28, 28)     Convolution forward x.shape (100, 16, 14, 14)     Relu forward x.shape (100, 32, 14, 14)     Convolution forward x.shape (100, 32, 14, 14)     Relu forward x.shape (100, 32, 16, 16)     Pooling forward x.shape (100, 32, 16, 16)     Convolution forward x.shape (100, 32, 8, 8)     Relu forward x.shape (100, 64, 8, 8)     Convolution forward x.shape (100, 64, 8, 8)     Relu forward x.shape (100, 64, 8, 8)     Pooling forward x.shape (100, 64, 8, 8)     Affine forward x.shape (100, 64, 4, 4)     Relu forward x.shape (100, 50)     Dropout forward x.shape (100, 50)     Affine forward x.shape (100, 50)     Dropout forward x.shape (100, 10)     SoftmaxWithLoss forward x.shape (100, 10)     レイヤのbackwardを逆に辿る。     SoftmaxWithLoss backward     Dropout backward     Affine backward     Dropout backward     Relu backward     Affine backward     Pooling backward     Relu backward     Convolution backward     Relu backward     Convolution backward     Pooling backward     Relu backward     Convolution backward     Relu backward     Convolution backward     Pooling backward     Relu backward     Convolution backward     Relu backward     Convolution backward     forward2回目     train loss:2.259148889493097     forward3回目、SoftmaxWithLossなし、レイヤのbackwardなし     forward4回目、SoftmaxWithLossなし、レイヤのbackwardなし     forward5回目、SoftmaxWithLossなし、レイヤのbackwardなし     forward6回目、SoftmaxWithLossなし、レイヤのbackwardなし     forward7回目、SoftmaxWithLossなし、レイヤのbackwardなし     forward8回目、SoftmaxWithLossなし、レイヤのbackwardなし     forward9回目、SoftmaxWithLossなし、レイヤのbackwardなし     forward10回目、SoftmaxWithLossなし、レイヤのbackwardなし     forward11回目、SoftmaxWithLossなし、レイヤのbackwardなし     forward12回目、SoftmaxWithLossなし、レイヤのbackwardなし     forward13回目、SoftmaxWithLossなし、レイヤのbackwardなし     forward14回目、SoftmaxWithLossなし、レイヤのbackwardなし     forward15回目、SoftmaxWithLossなし、レイヤのbackwardなし     forward16回目、SoftmaxWithLossなし、レイヤのbackwardなし     forward17回目、SoftmaxWithLossなし、レイヤのbackwardなし     forward18回目、SoftmaxWithLossなし、レイヤのbackwardなし     forward19回目、SoftmaxWithLossなし、レイヤのbackwardなし     forward20回目、SoftmaxWithLossなし、レイヤのbackwardなし     forward21回目、SoftmaxWithLossなし、レイヤのbackwardなし     forward22回目、SoftmaxWithLossなし、レイヤのbackwardなし     === epoch:1, train acc:0.109, test acc:0.118 ===     forward1回目、SoftmaxWithLossあり     レイヤのbackwardを逆に辿る。     forward2回目、SoftmaxWithLossあり     train loss:2.346498438332875     forward1回目、SoftmaxWithLossあり     レイヤのbackwardを逆に辿る。     forward2回目、SoftmaxWithLossあり     train loss:2.294114848166848     forward1回目、SoftmaxWithLossあり     レイヤのbackwardを逆に辿る。     forward2回目、SoftmaxWithLossあり     train loss:2.3271042408576728     forward1回目、SoftmaxWithLossあり     レイヤのbackwardを逆に辿る。     forward2回目、SoftmaxWithLossあり     train loss:2.276695334729226     forward1回目、SoftmaxWithLossあり     レイヤのbackwardを逆に辿る。     forward2回目、SoftmaxWithLossあり     train loss:2.2695305787097393      ・・・・     === epoch:20, train acc:0.995, test acc:0.989 ===     train loss:0.8803254502136413     train loss:0.8300136406770576     train loss:0.9018399353626201     train loss:0.862232334277936     train loss:0.8245117918709284     train loss:0.7311440190827428     Final Test Accuracy     test acc:0.9944     Saved Network Parameters!     学習_end(正解率 99.4%)